Thông tin chung
Tại Thông tư sửa đổi, bổ sung Thông tư 04/2023/TT-BTTTT quy định Danh mục sản phẩm, hàng hóa có khả năng gây mất an toàn thuộc trách nhiệm quản lý của Bộ Thông tin & Truyền thông ngày 29 tháng 03 năm 2024, quy định:
+ Từ thời điểm hiệu lực của Thông tư sửa đổi, bổ sung TT04 (bắt đầu từ ngày 15/05/2024) đến hết ngày 30/06/2024, doanh nghiệp được lựa chọn áp dụng theo QCVN phiên bản cũ hoặc mới trong các hoạt động thử nghiệm, chứng nhận hợp quy và công bố hợp quy.
+ Kể từ ngày 01 tháng 07 năm 2024, doanh nghiệp áp dụng QCVN phiên bản mới, giấy chứng nhận hợp quy theo QCVN phiên bản cũ còn giá trị sử dụng đến hết thời hạn của giấy, bao gồm cả việc hoàn thiện hồ sơ đăng ký kiểm tra chất lượng nhà nước theo QCVN phiên bản mới.
Đối tượng áp dụng
Các quy chuẩn kỹ thuật này áp dụng đối với các cơ quan, tổ chức, cá nhân Việt Nam và nước ngoài có hoạt động sản xuất, kinh doanh và khai thác các thiết bị thuộc phạm vi điều chỉnh của Quy chuẩn này trên lãnh thổ Việt Nam
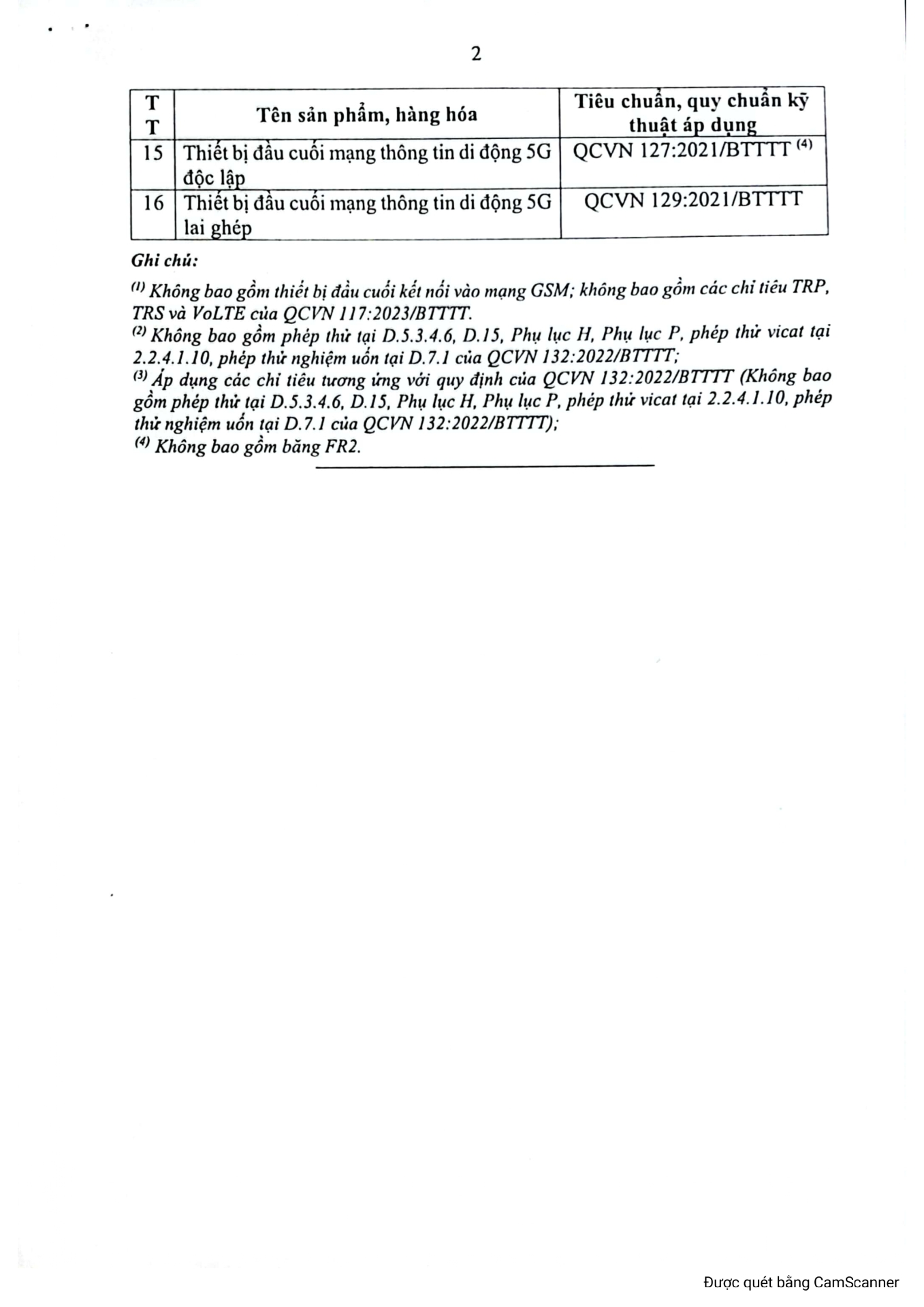
Quy định kỹ thuật
|   QCVN 55:2023/BTTTT  |    Quy chuẩn này áp dụng cho các loại thiết bị vô tuyến cự ly ngắn (SRD) sau: a) Thiết bị vô tuyến cự ly ngắn dùng cho mục đích chung hoạt động trong dải tần từ 9 kHz đến 25 MHz; và b) Thiết bị vòng từ hoạt động trong dải tần từ 9 kHz đến 30 MHz, gồm: thiết bị nhận dạng vô tuyến điện (RFID), thiết bị sử dụng công nghệ giao tiếp trường gần (NFC), và thiết bị sử dụng trong hệ thống cổng từ an ninh (EAS) hoạt động ở dải tần LF và HF. Quy chuẩn này áp dụng đối với sản phẩm, hàng hóa là thiết bị vô tuyến cự ly ngắn có mã số HS quy định tại Phụ lục J. Tất cả các thiết bị vô tuyến cự ly ngắn quy định trong quy chuẩn này phải tuân thủ các quy định về quy hoạch tần số và phân kênh tần số của Việt Nam. Các loại thiết bị vô tuyến điện liệt kê ở trên hoạt động trong các băng tần số từ 9 kHz đến 30 MHz (như quy định trong Bảng 1) cho các trường hợp: 
 Chi tiết QCVN 55:2023/BTTTT xem tại đây.  |  
|   QCVN 117:2023/BTTTT  |    Quy chuẩn này quy định các yêu cầu kỹ thuật phần truy nhập vô tuyến của các thiết bị đầu cuối thông tin di động mặt đất GSM, W-CDMA, E-UTRA gồm máy điện thoại di động và các thiết bị đầu cuối thông tin di động mặt đất không phải máy điện thoại di động. Máy điện thoại di động phải sử dụng công nghệ E-UTRA, hỗ trợ tính năng thoại VoLTE và hoạt động trên toàn bộ hoặc một trong các băng tần quy định từ Bảng 1 đến Bảng 5 và tuân thủ các quy định kỹ thuật tại mục 2 của Quy chuẩn này. Trường hợp máy điện thoại di động có tích hợp công nghệ W-CDMA FDD phải tuân thủ thêm các yêu cầu kỹ thuật quy định tại Phụ lục B của quy chuẩn này; trường hợp máy điện thoại di động có tích hợp công nghệ GSM phải tuân thủ thêm các yêu cầu kỹ thuật quy định tại Phụ lục C của quy chuẩn này. Thiết bị đầu cuối thông tin di động mặt đất không phải máy điện thoại di động nếu tích hợp/sử dụng công nghệ E-UTRA thì phải hoạt động trên toàn bộ hoặc một trong các băng tần quy định từ Bảng 1 đến Bảng 5 và tuân thủ các yêu cầu kỹ thuật quy định tại mục 2 của quy chuẩn này; trường hợp nếu tích hợp/sử dụng công nghệ W-CDMA FDD phải tuân thủ các yêu cầu kỹ thuật quy định tại Phụ lục B của quy chuẩn này; trường hợp nếu tích hợp/sử dụng công nghệ GSM phải tuân thủ các yêu cầu kỹ thuật quy định tại Phụ lục C của quy chuẩn này. Quy chuẩn này không quy định các yêu cầu kỹ thuật phần truy nhập vô tuyến sử dụng công nghệ NB-IoT, LTE-M và 5G. Chi tiết QCVN 117:2023/BTTTT xem tại đây.  |  
Dt&C VINA chính thức nhận được cấp phép thực hiện QCVN 55:2023/BTTTT và QCVN 117:2023/BTTTT, với quy trình làm việc nghiêm ngặt, tuân thủ quy định phòng lab cùng đội ngũ kỹ sư, chuyên gia giàu kinh nghiệm, chúng tôi cam kết thực hiện đúng quy trình và yêu cầu kỹ thuật theo quy định của nhà nước, đảm bảo tiến độ dự án, kết quả thử nghiệm chính xác và nhanh chóng tới cho quý khách hàng. Các sản phẩm thử nghiệm tại phòng lab Dt&C VINA đều phải được bảo mật tuyệt đối theo quy định.



Mọi thông tin vui lòng liên hệ Dt&C VINA qua email: info@dtnc.vn hoặc hotline: 0862 619 168. (Hà Nội) hoặc 0971 932 808 (Hồ Chí Minh).



